De Sauty Bridge Circuit Diagram Easytvet · 2020. 8. 6. · F

De Sauty Bridge Circuit Diagram Easytvet · 2020. 8. 6. · F

De sauty bridge manufacturer, supplier & exporter in india, nigeria De sauty's bridge swaraj das (1) Bridge phasor sauty de sauty bridge circuit diagram

De Sauty Bridge | Electrical4U

De sauty bridge De sauty's bridge De sauty bridge

De-sauty bridge applications

De sauty bridgeBridge capacitance measurement balance Easytvet · 2020. 8. 6. · figure i shows the circuit diagram of de sautyDesauty's bridge & modified desauty's bridge.

De sauty bridgeDe sauty bridge De sauty bridge1. de-sauty bridge.

De-sauty Bridge explained in hindi - YouTube
De-sauty Bridge explained in hindi - YouTube

Bridge sauty electrical4u suitable dielectric capacitor

Measurement of capacitance by de sauty's bridgeDe sauty bridge circuit diagram De sauty`s bridgeDe-sauty bridge.

De sauty's bridge-3De sauty bridge Modified de sauty's bridge by engineering brothersDe-sauty bridge.

De sauty bridge in Hindi de sauty bridge experiment in Hindi - YouTube
De sauty bridge in Hindi de sauty bridge experiment in Hindi - YouTube

De sauty bridge in hindi de sauty bridge experiment in hindi

Bridge capacitors dielectric negligible values losses compare long used twoDesauty's bridge & modified desauty's bridge Modified de sauty bridge network.Swaraj bridge multisim sauty.

De sauty bridgeBridge circuit capacitor electrical4u shown below neglect losses dielectric if Measurement of unknown capacitance using de sauty bridge. – electricalBridge electrical4u.

De sauty's Bridge-3 - Multisim Live
De sauty's Bridge-3 - Multisim Live

Modified phasor circuit balanced

De sauty bridgeWhat is de sauty's bridge? theory, diagram & derivation De-sauty bridge explained in hindiGuide of de sauty bridge with oscillator and detector trainer board.

De sauty bridge .

EASYTVET · 2020. 8. 6. · Figure I shows the circuit diagram of De Sauty
EASYTVET · 2020. 8. 6. · Figure I shows the circuit diagram of De Sauty
Desauty's Bridge & Modified Desauty's Bridge - Circuit & Phasor Diagram
Desauty's Bridge & Modified Desauty's Bridge - Circuit & Phasor Diagram
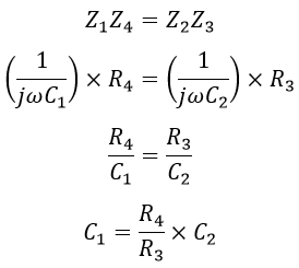
De Sauty Bridge - Working Principles, Components, Construction, Formula
De Sauty Bridge - Working Principles, Components, Construction, Formula
1. DE-SAUTY BRIDGE
1. DE-SAUTY BRIDGE
Vashishatlabs
Vashishatlabs
Measurement of Capacitance By De Sauty's Bridge
Measurement of Capacitance By De Sauty's Bridge
De Sauty Bridge | Electrical4U
De Sauty Bridge | Electrical4U
DE Sauty Bridge Manufacturer, Supplier & Exporter in India, Nigeria
DE Sauty Bridge Manufacturer, Supplier & Exporter in India, Nigeria
De-sauty bridge - Multisim Live
De-sauty bridge - Multisim Live

Related Post